INSTRUÇÃO NORMATIVA SRF Nº 572, DE 22 DE NOVEMBRO DE 2005
Revogada pelo art. 2º da IN SRFB nº 1.401, DOU
11/10/2013
Dispõe sobre o cálculo da Contribuição para o
PIS/Pasep-Importação e da Cofins-Importação.
O SECRETÁRIO
DA RECEITA FEDERAL, no uso da atribuição que lhe confere o inciso III do
art. 230 do Regimento Interno da Secretaria da Receita Federal, aprovado pela
Portaria MF n°
30, de 25 de fevereiro de 2005, e tendo em vista o disposto no art. 7° da
Lei no 10.865, de 30 de abril de 2004, com a redação dada pela Lei n° 11.196, de 22
de novembro de 2005, declara:
Art 1° Os valores
a serem pagos relativamente à Contribuição para o PIS/Pasep-Importação e à
Contribuição para o Financiamento da Seguridade Social (Cofins-Importação)
serão obtidos pela aplicação das seguintes fórmulas, exceto quando a alíquota
do Imposto sobre Produtos Industrializados (IPI) for específica:
I - na importação de bens:

onde,

VA =
Valor Aduaneiro
a = alíquota do Imposto
de Importação (II)
b =
alíquota do Imposto sobre Produtos Industrializados (IPI)
c =
alíquota da Contribuição para o PIS/Pasep-Importação
d =
alíquota da Cofins-Importação
e = alíquota do imposto
sobre operações relativas à circulação de mercadorias e sobre prestação de
serviços de transporte interestadual e intermunicipal e de comunicação (ICMS)
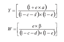
II - na importação de
serviços :

onde,

V = o
valor pago, creditado, entregue, empregado ou remetido para o exterior, antes
da retenção do imposto de renda
c =
alíquota da Contribuição para o Pis/Pasep-Importação
d =
alíquota da Cofins-Importação
f =
alíquota do Imposto sobre Serviços de qualquer Natureza
Art. 2° Na
hipótese de a alíquota do IPI ser específica, os valores a serem pagos serão
obtidos pela aplicação das seguintes fórmulas:

onde,

Q = Quantidade do produto importada na unidade de medida
compatível com a alíquota específica do IPI.
VA = Valor
Aduaneiro
a = alíquota do II
B =
alíquota específica do IPI
c =
alíquota da Contribuição para o PIS/Pasep-Importação
d =
alíquota da Cofins-Importação
e = alíquota do ICMS
Art. 3° Nas hipóteses de imunidade ou de isenção ou redução do II ou do
IPI, redução das alíquotas dos respectivos tributos, ou redução de suas
respectivas bases de cálculo, o valor correspondente a qualquer deles, que seria
devido caso não houvesse imunidade, isenção ou redução, não compõe a base de
cálculo da Contribuição para o PIS/Pasep-Importação e da Cofins-Importação.
§ 1° Aplica-se
também o disposto no caput nas hipóteses de:
I - imunidade, isenção ou redução do ICMS, ou ainda, de redução das
alíquotas ou da base de cálculo do tributo;
II - aplicação dos regimes aduaneiros aplicados em áreas especiais;
III - suspensão do pagamento do IPI
vinculado à importação de que tratam as Leis n° 9.826, de 23 de
agosto de 1999, n°
10.485, de 3 de julho de 2002, e n° 10.637, de 30 de dezembro de 2002, com a redação dada
pela Lei n° 10.684, de 30 de maio de 2002.
§ 2° Nos casos
de imunidade, isenção ou da suspensão do IPI vinculado à importação de que
trata o inciso III do § 1° deste artigo, deve-se
informar o valor zero para a alíquota correspondente de cada tributo e, nos
casos de redução, deve ser informada a alíquota real empregada na operação.
§ 3° Na hipótese
de diferimento do pagamento do ICMS, o valor do ICMS diferido compõe a base de
cálculo da Contribuição para o PIS/Pasep-Importação e da Cofins-Importação.
Art. 4° O contribuinte que comprovar o recolhimento de valores a maior
que o devido da Contribuição para o PIS/Pasep- Importação e da Cofins-Importação em razão da utilização das fórmulas
constantes da Instrução Normativa RFB n° 571, de 20 de outubro de 2005, antes da publicação desta
Instrução Normativa, terá direito a restituição da diferença de valores, nos
termos da Instrução Normativa SRF n° 460, de 18 de outubro de 2004.
Art. 5° Fica revogada a Instrução Normativa RFB n° 571, de 20 de outubro de
2005.
Art. 6° Esta Instrução Normativa entra em vigor na data de sua
publicação, produzindo efeitos a partir de 22 de novembro de 2005.
JORGE
ANTONIO DEHER RACHID